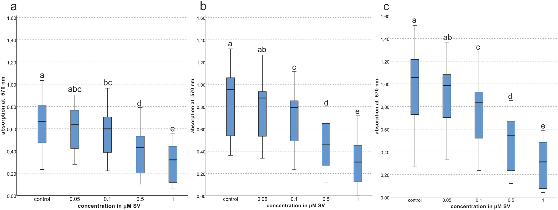
Fig. 2
From: Simvastatin induces adverse effects on proliferation and mineralization of human primary osteoblasts

Viability given as photometric absorption at λ 570 nm of the MTT-assay on a = day 9, b = day13, c = day 16 (different letters indicate statistically significant differences at p < 0.05)